作者:Retardiño,来源:IOSG Ventures
本研究全面分析了Binance四大上币渠道——Alpha、IDO、Futures和Spot的代币生命周期表现,并跟踪其在Bitget、Bybit、Coinbase、Upbit等主流交易所的上线情况,重点考察回报率、上币节奏、赛道偏好及FDV分布。
1. 表现回顾
-
多数渠道的14天FDV中位数为负,表明上线即估值高点;
-
Binance Alpha表现最具爆发力(均值220%),但波动性较大;
-
Binance IDO兼具短期涨幅与较高转化率(至Futures和Spot);
-
Binance Spot短期表现最弱,或因成为早期投资人退出点;
-
Bitget和Coinbase在二级市场表现亮眼,Bybit和Upbit表现一般。
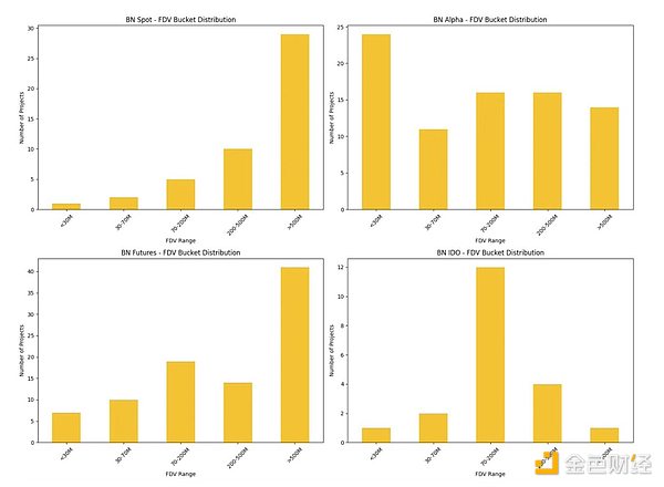
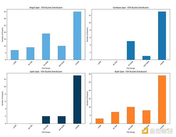
2. 按FDV区间选择平台
-
Binance Spot偏好大市值项目(>$500M);
-
Alpha主要支持< $200M的早期项目,适合试水;
-
IDO聚焦于$70M–$200M的中型项目;
-
Bitget / Bybit区间灵活,但更偏向有增长势能或大市值项目;
-
Coinbase / Upbit偏好合规性强、估值高的项目。
3. 上币时间预期
-
Alpha → Spot:平均约60天;
-
IDO → Spot:平均约17天;
-
Futures → Spot:平均仅14天;
-
Futures可能是最快捷的通道。
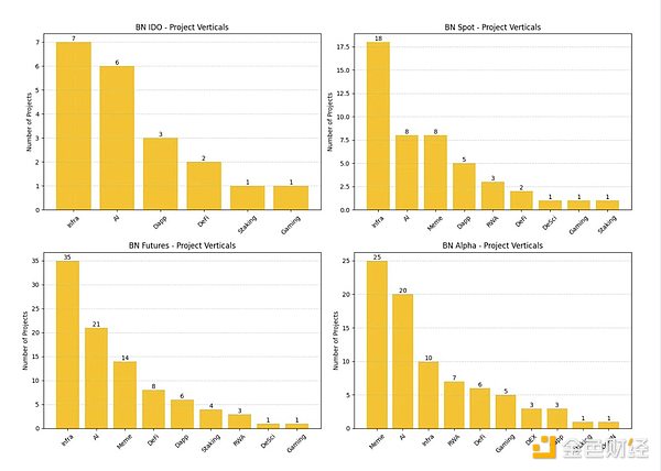
4. 赛道偏好
-
Alpha:偏好Meme、AI;
-
IDO:偏好Infra、AI;
-
Spot:覆盖Infra、Meme、AI;
-
Futures:更广泛,主打Infra、AI、Meme;
-
项目方需根据平台偏好调整叙事方向。
5. 上币路径进阶
-
Alpha → Futures:转化率37.8%;
-
Alpha → Spot:转化率12.2%;
-
IDO → Futures:转化率66.7%;
-
IDO → Spot:转化率23.8%;
-
实现约40%的FDV上涨是进入下阶段平台的共性特征。
6. 替代平台表现
-
Bitget是最具承接力的其他CEX,尤其对Alpha/IDO项目友好;
-
Bybit对IDO项目也有较高承接意愿;
-
Coinbase / Upbit上线项目极少,审核严格,周期较长。
本研究聚焦Binance的上币渠道(Alpha、社区普遍称作IDO的Exclusive TGE、Futures和Spot)中代币的生命周期,并跟踪这些项目在Bitget、Bybit、Upbit和Coinbase等中心化交易所上的后续上线路径。分析涵盖代币回报表现、上线时机、赛道偏好及估值分布(FDV dynamics),旨在为项目方提供战略性的上币路径建议,也为投资者建立基于数据的价格发现与交易策略评估框架。
术语解释:Binance的Spot / Futures / IDO / Alpha上市分别指什么?
Binance Spot(现货)是最基础的交易平台,用户可按市价买入或卖出代币。
Binance Futures(合约)提供加密货币衍生品交易服务,支持杠杆。
Binance IDO是面向散户用户的公募渠道,通常发生在代币正式上线前。
Binance Alpha是Binance推出的代币发现平台,支持早期潜力项目。
研究范围
本研究仅纳入2025年2月后的上线事件,过滤过时逻辑以贴合当前动态。











结论
Binance Alpha和IDO作为前置平台各有优势:Alpha适合早期曝光,IDO更具品牌背书和转化率。然而,最终晋升Binance Spot的比例仍较低,因此项目方需精准规划节奏与策略。
