加密资讯 TXB.COM打造新一代交易所:创新商业模式+产业全生态建设 2019年7月28日,TXB.COM在杭州召开了“TXB.COM全生态首映发布会”,对TXB.COM团队、理念以及未来的发展策略进行了详述。发布会邀请了多位区块链行业资深人士和多家区块链行业媒体,围绕区块链交易所行业... 2025-05-3056 阅读0 评论GATEIO
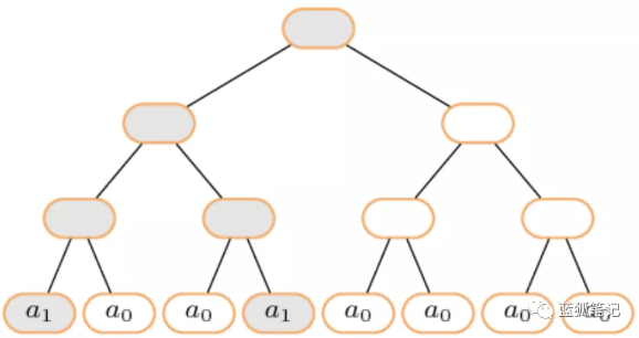
加密资讯 什么是Plasma?Plasma Cash? 前言:我们知道Plasma是以太坊扩容方案之一,那么,到底什么是Plasma?什么是Plasma Cash?本文给我们一些简要的说明。 Plasma是一种设计模式,它允许链外消息驱动链上资产的转移。它通过将交易吞吐量... 2025-05-3055 阅读0 评论GATEIO
加密资讯 读懂 IRISnet 链上治理 : 跨链服务网络的「自进化」之路 7 月 2 日,IRIS Hub 发起首个链上参数修改的治理提案 - 关于适当增加验证人运营节点难度的提案,在为期 1 天的抵押阶段内满足 2000 IRIS 的抵押条件后开启投票,随后在为期 5 天的投票阶段后以 ... 2025-05-3051 阅读0 评论GATEIO
加密资讯 加密世界黑帮,了解一下 「我在街头学到的东西,比在任何一间教室里的都多。」 在硅谷创投圈里,「PayPal 黑帮」是一个绕不开的话题。这个名词最早出现在美国《财富》杂志的一篇文章里,其中提到自 2002 年 PayPal 被 eBay 收购... 2025-05-3054 阅读0 评论GATEIO
加密资讯 观点 | 加密货币能否成为破除金融包容性障碍的解决之道? 作者简介:迈克尔•J•凯西(Michael J. Casey)是CoinDesk咨询委员会主席,也是麻省理工学院(MIT)数字货币计划(Digital Currency Initiative)区块链研究的高级顾问。 ... 2025-05-3055 阅读0 评论GATEIO
加密资讯 本传言是USDT的“末日审判”,结果听证会影响微乎其微? USDT对稳定币的普及和发展功不可没,但是负面消息一直不断。 2019年4月25日,纽约州总检察长办公室(NYAG)将USDT的发行方Tether及其母公司iFinex Inc以及Bitfinex告上法庭。控告两者涉... 2025-05-3056 阅读0 评论GATEIO
加密资讯 EdenChain:可编程经济的全球平台 EdenChain是一个面向企业的区块链平台,旨在通过智能合约使用基于区块链的代币替换现有资产。可编程经济是一种允许任何有形和无形资产资本化的新体系。EdenChain团队认为,可编程经济的应用将降低交易成本,增加共... 2025-05-3045 阅读0 评论GATEIO
加密资讯 稳定币能否成为美债的“救星”? 作者:GMF Research;来源:坦途宏观 编者按:2025年5月21日,美国参议院以69:31通过了GENIUS稳定币法案的程序性动议,标志着美国历史上首个针对稳定币的全面联邦监管法案迈出了关键一步。与此同时,... 2025-05-3048 阅读0 评论GATEIO
加密资讯 从USDT到《天才法案》:稳定币十年变革与金融霸权新争夺 作者:Wenser,Odaily 星球日报 随着比特币(BTC)价格逼近112,000美元的新高,美国稳定币监管法案《天才法案》也逐渐进入实施阶段。加密行业与全球经济体系的深度融合,使得支付体系成为加密行业的核心竞争... 2025-05-3055 阅读0 评论GATEIO
加密资讯 James Wynn:从传奇交易员到高风险赌徒的24小时 原创 | Odaily星球日报(@OdailyChina) 作者|Azuma(@azuma_eth) 曾经被誉为“版本之子”、“疯狂巨鲸”的知名交易员 James Wynn 的操作再次引发市场热议。 在昨日发布的《谁... 2025-05-3069 阅读0 评论GATEIO